1.파일(file)
1)정의
-하드 디스크나 SSD와 같은 보조기억장치에 저장된 관련 정보의 집합
-파일에는 실행하기위한 정보와 관련된 부가속성으로 이루어져 있고 이 부가속성을
메타데이터(metadata) 또는 속성(attribute)라고 부른다
2)파일 속성과 유형

-파일 속성 중 유형은 운영체제가 인식하는 파일 종류를 나타낸다.
-같은 이름의 파일이라도 유형이 다르면 실행 양상도 달라지고 운영체제에 실행파일의
유형을 알려주기 위해 확장자(extension)를 이용한다.
-확장자란 파일 이름 뒤에 붙어 파일의 종류가 무엇인지 운영체제에 알려준다.
*파일 유형 종류

3)파일연산을 위한 호출
-파일을 다루는 모든 작업은 운영체제에 의해 이루어진다.
-어떤 응용프로그램도 임의로 파일을 조작할 수 없으며 파일을 다루려면 운영체제에
작업을 요청해야한다.
-파일 연산을 위해 운영체제는 시스템 호출을 제공한다.
2.디렉터리(directory)
1)정의
-파일을 분류하기 위해 사용하는 이름 공간으로 폴더(Folder)라고도 부른다.
-예전 운영체제에서는 하나의 디렉터리 존재했고 모든 파일이 하나의 디렉터리 아래에
있었다. 이 디렉터리 구조를 1단계 디렉터리(single- level directory)라고 한다.

-1단계 디렉토리로는 많은 파일을 관리하기엔 부족함으로 나중에 나온 것이
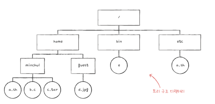
트리 구조 디렉터리(tree-structured directory)가 생겨났다.

-트리 구조 디렉터리는 최상위 디렉터리가 존재하고 그 아래 여러 서브 디렉터리가 존재한다.
-서브디렉터리는 다른 서브 디렉터리를 가질 수 있고 이것이 마치 트리와 같은 구조를 띤다.
-최상위 디렉터리는 루트 디렉터리(root directory)라고 하며 슬래시(/)로 표현한다.
-그러면 파일 이름과 위치를 특정 짓는 경로(path)라는 개념이 생겼다.
2)절대경로와 상대경로
-같은 디렉터리 안에는 동일한 이름의 파일이 존재할 수 없지만 서로 다른 디렉터리 안에는
존재가능하다.
-모든 파일은 루트 디렉터리에서 자기자신까지 이르는 고유한 경로를 가지고 있고
이것을 절대경로(absolute path)라고 부른다.
-그리고 현재 디렉토리에서 시작하는 경로를 상대경로(relative path)라고 한다.
3)디렉터리 엔트리
-운영체제는 디렉터리도 파일이고 조금 특별한 형태의 파일로 간주한다.
-파일이 내부에 해당 파일과 관련된 정보를 가지고 있다면, 디렉터리는 내부에 해당 디렉터리에
담겨 있는 대상과 관련된 정보를 담는다.
-그리고 이 정보는 보통 테이블(표) 형태로 구성되고 각 행을 디렉터리 엔트리라고 한다.

-파일 시스템에 따라 디렉터리 엔트리에 다음과 같이 파일 속성을 명시하기도 한다.

'컴퓨터 공학 > 혼자 공부하는 컴퓨터 구조 +운영체제' 카테고리의 다른 글
| 엄청 늦었지만 후기 (0) | 2023.09.04 |
|---|---|
| 34.파일 시스템 (0) | 2023.08.14 |
| 32.페이지 교체와 프레임 할당 (0) | 2023.08.07 |
| 31.페이징을 통한 가상메모리 관리 (0) | 2023.08.03 |
| 29.교착 상태 해결방법 (0) | 2023.07.30 |